This year, Ho Chi Minh City sees over 169,000 students graduating junior high school, an increase of nearly 43,000 compared to last year. The entrance exam for 10th grade is scheduled for 1-2/6, featuring three main subjects: Mathematics, Literature, and a Foreign Language (primarily English).
Students applying to specialized schools will take an additional corresponding specialized subject exam. However, in Thanh An island commune, part of the Con Dao special zone, admission to 10th grade is determined by academic transcripts.
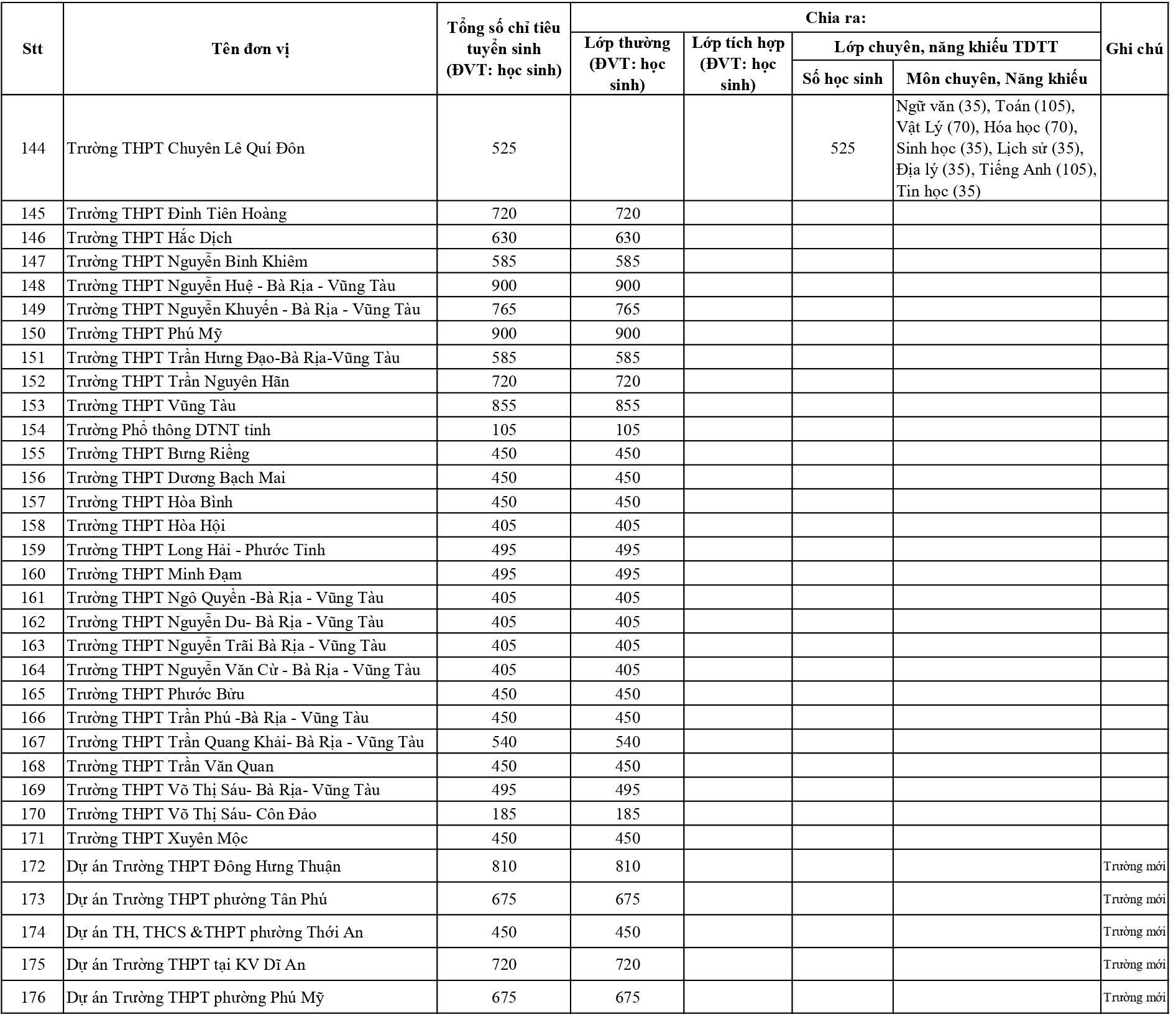
The 10th grade enrollment targets for 176 high schools in Ho Chi Minh City for 2026 are as follows:
![]() |
![]() |
![]() |
![]() |
Ho Chi Minh City's sample exam for 10th grade
![]() |
Candidates taking the Ho Chi Minh City public 10th grade entrance exam at Trung Vuong High School test site, June 2025. *Photo: Quynh Tran*
Le Nguyen




